
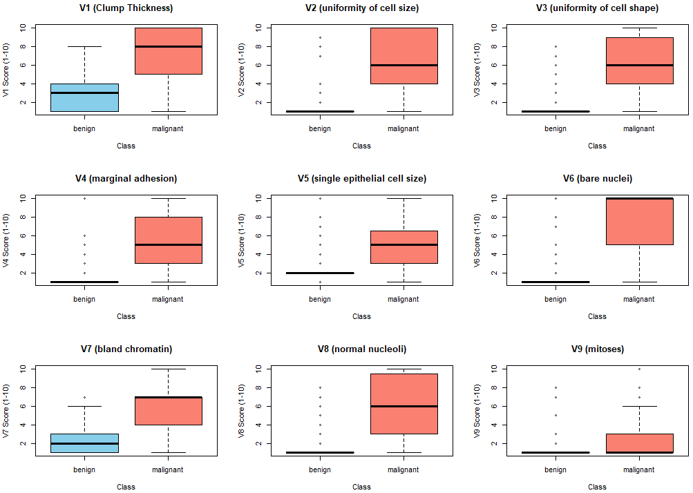
MASSパッケージのサンプルデータセットを巡回中。大文字優先のABC順。前回ビーバー1だったので、まだビーバー2が残ってますが昔のデータに別な処理をするだけなのはトキメかないので先に進みました。今回は biopsy です。乳がん患者様の生検データみたいです。良性か悪性か判断するためにデータを処理する基本的処理?
“データのお砂場(209) R言語、biopsy、乳がん患者様の生検データ {MASS}” の続きを読む
デバイス作る人>>デバイス使う人>>デバイスおたく

MASSパッケージのサンプルデータセットを巡回中。大文字優先のABC順。前回ビーバー1だったので、まだビーバー2が残ってますが昔のデータに別な処理をするだけなのはトキメかないので先に進みました。今回は biopsy です。乳がん患者様の生検データみたいです。良性か悪性か判断するためにデータを処理する基本的処理?
“データのお砂場(209) R言語、biopsy、乳がん患者様の生検データ {MASS}” の続きを読む