
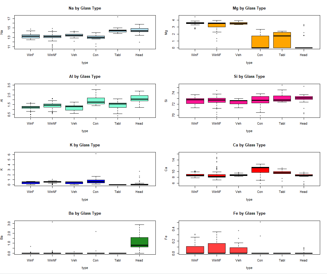
R言語の「MASS」パッケージのサンプル・データ・セットを巡回中。今回はガラスの分析です、警察の鑑識的な。ガラスの小片が窓ガラスの破片なのか、ビンのかけらなのか、ヘッドライトのものなのか判別したりする目的に使うもんだと思います。しかしその裏に「20世紀の大発明」が隠れていた。知らなかったお惚け老人はガラスの素人だよ。 “データのお砂場(224) R言語、fgl、鑑識的ガラス破片の分析 {MASS}” の続きを読む
デバイス作る人>>デバイス使う人>>デバイスおたく

R言語の「MASS」パッケージのサンプル・データ・セットを巡回中。今回はガラスの分析です、警察の鑑識的な。ガラスの小片が窓ガラスの破片なのか、ビンのかけらなのか、ヘッドライトのものなのか判別したりする目的に使うもんだと思います。しかしその裏に「20世紀の大発明」が隠れていた。知らなかったお惚け老人はガラスの素人だよ。 “データのお砂場(224) R言語、fgl、鑑識的ガラス破片の分析 {MASS}” の続きを読む