
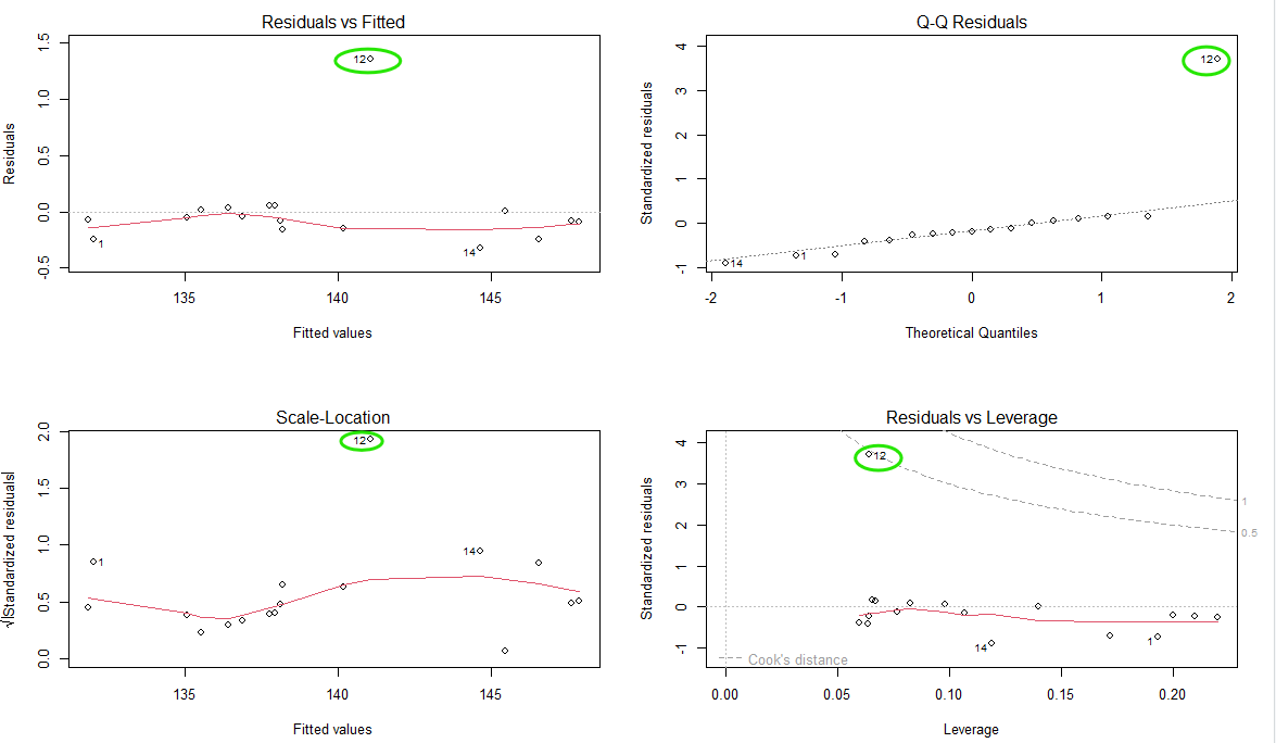
R言語の「MASS」パッケージのサンプル・データ・セットを巡回中。Forbesと言えば米国の雑誌が有名。当方も日本語版のWeb記事など時々読ませていただいてます、あざ~す。しかし今回のForbesは19世紀、スコットランドの学者様です。先生が「やらかし」たお陰で統計の定番データになってしまったみたい。
“データのお砂場(225) R言語、forbes、フォーブス先生の沸点データ {MASS}” の続きを読む
デバイス作る人>>デバイス使う人>>デバイスおたく

R言語の「MASS」パッケージのサンプル・データ・セットを巡回中。Forbesと言えば米国の雑誌が有名。当方も日本語版のWeb記事など時々読ませていただいてます、あざ~す。しかし今回のForbesは19世紀、スコットランドの学者様です。先生が「やらかし」たお陰で統計の定番データになってしまったみたい。
“データのお砂場(225) R言語、forbes、フォーブス先生の沸点データ {MASS}” の続きを読む